骨關節炎 (OA) 是一種進行性和使人衰弱的關節疾病,預計到2040年將影響多達25%的人口,并代表著巨大的社會經濟醫療保健負擔。患者最初接受物理治療、活動改變、體重減輕、非甾體類抗炎藥和/或關節內注射的組合治療,目的是改善癥狀。當OA進展到末期且非手術治療失敗時,全關節置換術可能是一種有效的替代方法。

間充質干細胞 (MSC) 是一種領先的研究性治療產品,因為它們具有多種作用機制。間充質干細胞已在許多較小的階段試驗中進行了測試,可有效減輕疼痛和患者癥狀。
在對間充質干細胞的工作原理有基本了解之前,早期試驗的初步療效結果引起了極大的熱情,并促使人們急于將間充質干細胞產品商業化用于治療膝骨關節炎 (KOA) 患者。
因此,加拿大關節炎計劃大學健康網絡對骨關節炎中的間充質干細胞作用機制以及這些細胞是否僅限于炎癥消退與軟骨保護和/或再生作用的集體知識仍然存在差距。與間充質干細胞給藥相關的懸而未決的問題以及識別有效供體間充質干細胞的選擇標準也仍然存在。
干細胞治療骨關節炎患者可全面改善疼痛和癥狀并減少滑膜炎癥
為了解決其中一些缺點,加拿大關節炎計劃大學健康網絡啟動了一個使用自體骨髓間充質干細胞治療12名中度至重度KOA患者(ClinicalTrials.gov標識符:NCT02351011)。
鑒于這是加拿大的第一個間充質干細胞試驗,該試驗結果發表在《干細胞轉換醫學》官網上,主要目的是評估臨床安全性。我們還使用了廣泛的分析方法工具包,包括患者報告的結果、成像,以更好地了解間充質干細胞的劑量、作用機制和供體選擇。

方法
十二名患者被納入四個隊列;前三個隊列中的每個隊列中的三名患者接受了6.5±1.5mL賦形劑中的1×106、10×106和50×106BM-MSC。在隊列編號4中,每位患者 (n=3) 接受1×106、10×106或50×106BM-MSCs。在BM-MSCs注射后48小時、1周、2周、6周、3個月、6個月、12個月和24個月進行臨床隨訪。
在每個時間點記錄身體檢查、不良事件和患者報告的結果測量 (PROM)。在基線、6個月和12個月時進行磁共振成像 (MRI);在基線和3個月時收集滑液;在基線、2周、6周、3個月、6個月和12個月時收集血液和尿液。
結果
安全性:沒有嚴重的不良事件,盡管有四名患者有輕微的、短暫的不良事件。
臨床結果
在BM-MSC治療12個月后,我們觀察到KOOS疼痛 ( p=0.025)、癥狀 (p=0.033) 和生活質量 (QOL;p=0.037) 和WOMAC僵硬 ( p=0.021) 有顯著改善相對于基線(圖1A,1B)。5000萬BM-MSC劑量組中的所有四名患者在除KOOS運動(2/4患者有改善)和QOL(3/4的患者在12個月的隨訪中有改善)(圖1C)。100萬劑量中至少有一半 (2/4) 的患者和1000萬劑量中至少有一名患者在所有評分中均顯示MCID(圖1C)。然而,5000萬劑量隊列中達到PROM MCID的患者數量最多(圖1C)。

(A):注射BM-MSG后WOMAC(左)和 KOOS(右)分量表的進展。WOMAC分數已經標準化,因此較高的WOMAC分數表示更好的結果。顯示的p值用于使用Wilcoxon符號秩檢驗比較基線和1年隨訪。
(B):患者報告的結果測量 (PROM) 相對于基線的增量。虛線表示最小臨床重要差異閾值10。綠色表示100萬,藍色表示1000萬,紅色表示 5000 萬 BM-MSC 劑量組。
(c):每組患者的數量(每組四名)在每個PROM中具有最小的臨床顯著改善(相對于每個PROM的基線的增量>10)。
核磁共振結果
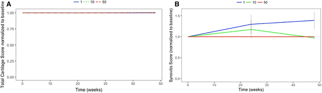
6個月和12個月隨訪時的形態學MRI軟骨評分 (WORMS) 顯示,相對于基線,在任何時間點都沒有顯著變化(圖2A)。從基線到12個月,軟骨的任何區域的T2評分都沒有變化。髕骨區域的T2分數略有增加。1、10或5000萬BM-MSC隊列之間的T2變化(基線至12個月)沒有差異。

(A):軟骨形態在間充質基質細胞 (MSC) 處理后沒有改變。顯示了相對于基線的倍數變化。每個MSC劑量n=4。
(B):滑膜炎評分(顯示為相對于基線的倍數變化)在劑量之間略有不同。n=4表示 50,n=3表示10和100萬MSC劑量。基線和1年隨訪之間未發現顯著差異。
本研究的主要發現是自體骨髓間充質干細胞在所有測試劑量下都是安全的,并且可能改善膝關節特定關節功能和生活質量的各個方面。使用廣泛的分析工具來量化成像、生物標志物和分子變化,我們探討了BM-MSC介導的軟骨形態、膠原蛋白含量、軟骨退化、滑膜炎癥、關節微環境和關節免疫效應物的變化。
我們報告了推定的軟骨保護作用和減少的滑膜炎癥,這在5000萬BM-MSC細胞劑量下可能更有效。使用一組抗炎和抗纖維化標記物,我們首次能夠預測臨床療效。
我們關于安全性的主要發現與文獻中報道的一致。Lalu等人在對間充質干細胞治療的系統評價中證明沒有嚴重的不良事件。在我們的研究中,四名患者有短暫的疼痛和腫脹,在沒有干預的情況下幾天內就會消退。在我們的隊列中沒有觀察到全身性副作用,我們也報告了骨髓穿刺后沒有并發癥。
來自我們12名患者的自體骨髓間充質干細胞移植試驗的數據顯示,從基線到12個月的隨訪,KOOS疼痛、癥狀和QOL評分以及WOMAC僵硬在統計學上有顯著改善。我們的研究結果支持BM-MSC誘導鎮痛作用和功能改善。
我們的分析為BM-MSC劑量和BM-MSC降低滑膜炎癥和軟骨降解提供了重要的見解,并提供了一個高度預測性的供者選擇標準,這將是用間充質干細胞治療骨關節炎的關鍵。
干細胞治療骨關節炎的作用機制
1、間充質干細胞的成軟骨分化特性
間充質干細胞擁有向軟骨細胞分化的潛能, 使其在OA的軟骨修復中具有重要作用。MSCs可以向受損的軟骨組織發生遷移,進而分化成軟骨細胞修復缺損的軟骨。
2、間充質干細胞的抗炎及免疫調節作用
盡管OA通常被認為是退行性疾病, 但越來越多的研究表明炎癥是OA的發生與進展中不容忽視的一個重要因素。MSCs擁有高效的免疫調節及抗炎效果,已有研究證實MSCs具有免疫調節性質,并通過調節先天和適應性免疫系統實現其免疫調節作用。
MSCs還通過調節T、B淋巴細胞的功能狀態來調節機體適應性免疫系統。因此, MSCs可能通過多種途徑調節機體免疫系統以克服OA滑膜炎癥及促進軟骨修復。
總結
我們報告說,在單次間充質干細胞注射后12個月,使用骨髓間充質干細胞是安全的,并且可以改善晚期膝關節患者的PROM。我們沒有報告形態學軟骨評分的改善或T2松弛值的降低。在50和1000萬骨髓間充質干細胞劑量下,我們確實看到了基于軟骨分解代謝生物標志物的可能的軟骨保護作用。相對于100萬骨髓間充質干細胞劑量組,5000萬劑量還顯示滑膜炎評分顯著降低。結合表明滑液中促炎性單核細胞/巨噬細胞流行率降低和促炎性 IL12細胞因子水平降低的數據,我們推測骨髓間充質干細胞可能主要用于減少滑膜炎癥。
重要的,我們表明,具有升高水平的抗炎和抗纖維化基因和蛋白質標記物的BM-MSCs可能在患者報告的結果方面具有改善的臨床療效,支持我們的假設,即骨髓間充質干細胞減少骨關節炎中的滑膜炎癥。
參考資料:Jaskarndip Chahal, Alejandro Gómez-Aristizábal, Konstantin Shestopaloff, Shashank Bhatt, Amélie Chaboureau, Antonietta Fazio, Jolene Chisholm, Amanda Weston, Julia Chiovitti, Armand Keating, Mohit Kapoor, Darrell J. Ogilvie-Harris, Khalid A. Syed, Rajiv Gandhi, Nizar N. Mahomed, Kenneth W. Marshall, Marshall S. Sussman, Ali M. Naraghi, Sowmya Viswanathan, Bone Marrow Mesenchymal Stromal Cell Treatment in Patients with Osteoarthritis Results in Overall Improvement in Pain and Symptoms and Reduces Synovial Inflammation, Stem Cells Translational Medicine, Volume 8, Issue 8, August 2019, Pages 746–757, https://doi.org/10.1002/sctm.18-0183
說明:本文僅用于傳播科普知識,分享行業觀點,不構成任何臨床診斷建議,如有版權等疑問,請隨時聯系我。
掃碼添加官方微信