慢性腎臟病(CKD)是一種進行性疾病,晚期患者治療選擇有限,預后不佳。近年來,脂肪來源干細胞(ADSC)療法因其在臨床前研究中展現出的腎臟修復潛力而成為研究熱點。
為科學評估其臨床療效,最近,中國臺灣臺北市臺北醫學大學公共衛生學院在國際期刊雜志《臨床轉化與科學》主頁上發表了一篇標題為“采用真實世界數據作為外部對照評估異體脂肪來源干細胞治療晚期慢性腎臟病的療效”的研究綜述[1]。

結果顯示:脂肪間充質干細胞療法可能有助于穩定慢性腎病患者的短期腎功能,尤其對晚期CKD患者更為有效。尤其是在病情較重的患者中。在所有劑量組中,低劑量組的腎功能穩定性最佳。這些發現支持利用真實世界數據構建外部對照的可行性,并提示干細胞療法可能對腎功能具有短期穩定作用。
一、 研究背景:慢性腎病的困境與治療新希望
CKD的疾病負擔與治療局限:慢性腎臟病(CKD)是全球約10%人口罹患的常見病,其定義為腎臟結構或功能持續異常超過3個月,且通常不可逆轉。疾病進展會引發心血管疾病、高血壓等多種并發癥,腎小管間質纖維化是導致腎功能持續下降的關鍵病理過程。
盡管現有藥物(如RAAS抑制劑、SGLT2抑制劑等)可延緩CKD進展,但晚期患者仍面臨腎功能迅速惡化的困境,因此亟需開發創新療法。間充質干細胞(MSCs)因其促進腎臟修復和再生的能力而備受關注,已成為預防CKD進展的潛在治療方法。

干細胞治療慢性腎病的修復潛力:近期研究表明,間充質干細胞可通過旁分泌機制分泌細胞因子、趨化因子和生長因子,從而抑制鄰近細胞凋亡,促進細胞增殖、血管生成和組織再生。
利用腎損傷小鼠模型的研究表明,間充質干細胞來源的細胞外囊泡能夠抑制促炎因子,同時增強抗炎反應,從而發揮免疫調節作用,抑制腎小管上皮細胞焦亡和炎癥,減輕腎纖維化,并促進細胞修復。在各種間充質干細胞來源中,脂肪組織來源的干細胞(ADSCs)與骨髓來源的間充質干細胞(BMSCs)相比,表現出更優異的抗炎和免疫調節特性。
現階段干細胞治療慢性腎病臨床試驗的瓶頸與挑戰
當前許多MSC治療CKD的臨床試驗受限于倫理與經濟因素,缺乏隨機對照組,影響了療效評估的可靠性與有效性。這一設計缺陷使得難以準確衡量治療作用的凈效益,也制約了研究結果的臨床轉化與監管審批。
應用真實世界數據評估干細胞治療慢性腎病真實療效為何至關重要?
應用真實世界數據(RWD)評估干細胞治療慢性腎病的療效之所以至關重要,核心在于它能有效解決此類創新療法早期臨床研究的根本性設計缺陷。干細胞療法的I/II期臨床試驗大多為單臂設計,缺乏內置對照組,難以區分治療效應與疾病的自然進程。通過采用目標試驗模擬等方法,RWD可以構建一個與試驗組患者基線特征高度相似的外部對照組,從而彌補隨機化對照的缺失,最大程度地減少偏倚,為療效評估提供一個嚴謹、可靠的科學比較框架。
這種方法的實踐價值與深遠意義體現在多個層面。具體而言,它使得對單臂試驗結果的解讀從描述性提升到可比較的分析層次,顯著增強了證據強度。以本研究為例,正是通過整合臺北醫學大學臨床研究數據庫(TMUCRD)中的常規治療患者數據作為對照,才得以客觀評估脂肪干細胞療法延緩腎病進展的真實效果。
此外,RWD提供的證據不僅有助于更可靠的臨床決策,也為支持監管審批提供了來自真實世界的關鍵補充證據,是推動有前景的干細胞療法從早期試驗走向實際應用不可或缺的橋梁。
二、 材料與方法:嚴謹設計確保可比性
數據來源與研究對象:本研究數據源自一項評估異體ADSC療法(ELIXCYTE)的I/II期單臂臨床試驗(共39名受試者,分低、中、高三個劑量組)以及臺北醫學大學臨床研究數據庫(TMUCRD)。
在I期共有12名受試者參與,II期共有27名受試者參與。其中,12名受試者接受了低劑量(ADSC6.4×10?個細胞)的ADSC治療,12名受試者接受了中等劑量(ADSC19.2×10?個細胞)的ADSC治療,15名受試者接受了高劑量(ADSC32.0×10?個細胞)的ADSC治療。
TMUCRD包含了約2.4萬名接受常規治療的CKD患者的縱向信息。研究嚴格遵循倫理規范,所有數據均經批準并使用。
病例組為臨床試驗中符合條件(20-80歲,CKD 3b-4期)的34名患者。對照組則從TMUCRD中依據與病例組完全相同的納入與排除標準(如排除特定合并癥、未控制糖尿病等)進行初步篩選,得到2384名潛在對照。
研究設計與統計匹配:為確保兩組可比性,研究采用傾向性評分匹配(PSM)方法,以1:5的比例為每例病例匹配5例對照。最終成功構建了一個由34例ADSC治療組患者和170例RWD外部對照組患者組成的、基線特征(包括年齡、性別、CKD分期、合并癥及用藥)無統計學差異的分析隊列,有效減少了混雜偏倚(圖1)。

療效評價指標:研究采用兩個核心指標評估腎功能變化。
- ①主要指標是eGFR相對于基線的平均百分比變化,用于衡量腎功能的動態波動與短期穩定性。
- ②關鍵次要指標是eGFR較基線下降≥30%的發生率,這是一個被廣泛認可的CKD進展的臨床終點。此外,研究也將eGFR下降15%、20%、25%及35%的發生率作為次要指標進行考察,以多角度評估腎功能惡化情況。
三、 臨床結果:脂肪間充質干細胞療法展現明確腎臟保護作用
3.1、研究隊列與基線特征
本研究采用傾向評分匹配(PSM)構建了可比隊列,最終分析隊列包含34例ADSC治療組患者和170例真實世界數據外部對照組患者。
匹配后,兩組基線特征平衡,無統計學差異:隊列中62%為男性,平均年齡51-53歲,慢性腎臟病(CKD)4期患者占67.65%,超過85%的患者接受了腎素-血管緊張素-醛固酮系統抑制劑治療,確保了后續療效比較的可靠性。
3.2、ADSC治療組與RWD EC組比較:ADSC治療穩定腎功能,延緩eGFR下降
如圖2A部分所示,與RWD EC組相比,ADSC治療組的eGFR軌跡更為穩定,下降速度也更慢。按CKD分期分層分析顯示,在CKD3期,兩組的eGFR均保持穩定;而在CKD4期,RWD EC組的eGFR下降幅度顯著更大。

此外,ADSC治療組的eGFR變異性更高,表現為標準差更大。圖2B部分展示了eGFR相對于基線的百分比變化,結果顯示RWD EC組的eGFR變化偏離0%更為顯著,反映出其腎功能隨時間推移波動更大,而ADSC治療組則保持相對穩定。
在CKD3期,兩組的eGFR百分比變化無顯著差異,表明總體穩定性良好。然而,在CKD4期,RWD EC組與ADSC治療組相比出現了統計學上的顯著下降,這表明在晚期CKD患者中,ADSC治療組的短期腎功能軌跡更加穩定。
3.3、RWD EC組與ADSC治療組比較:ADSC組顯著降低腎功能惡化風險
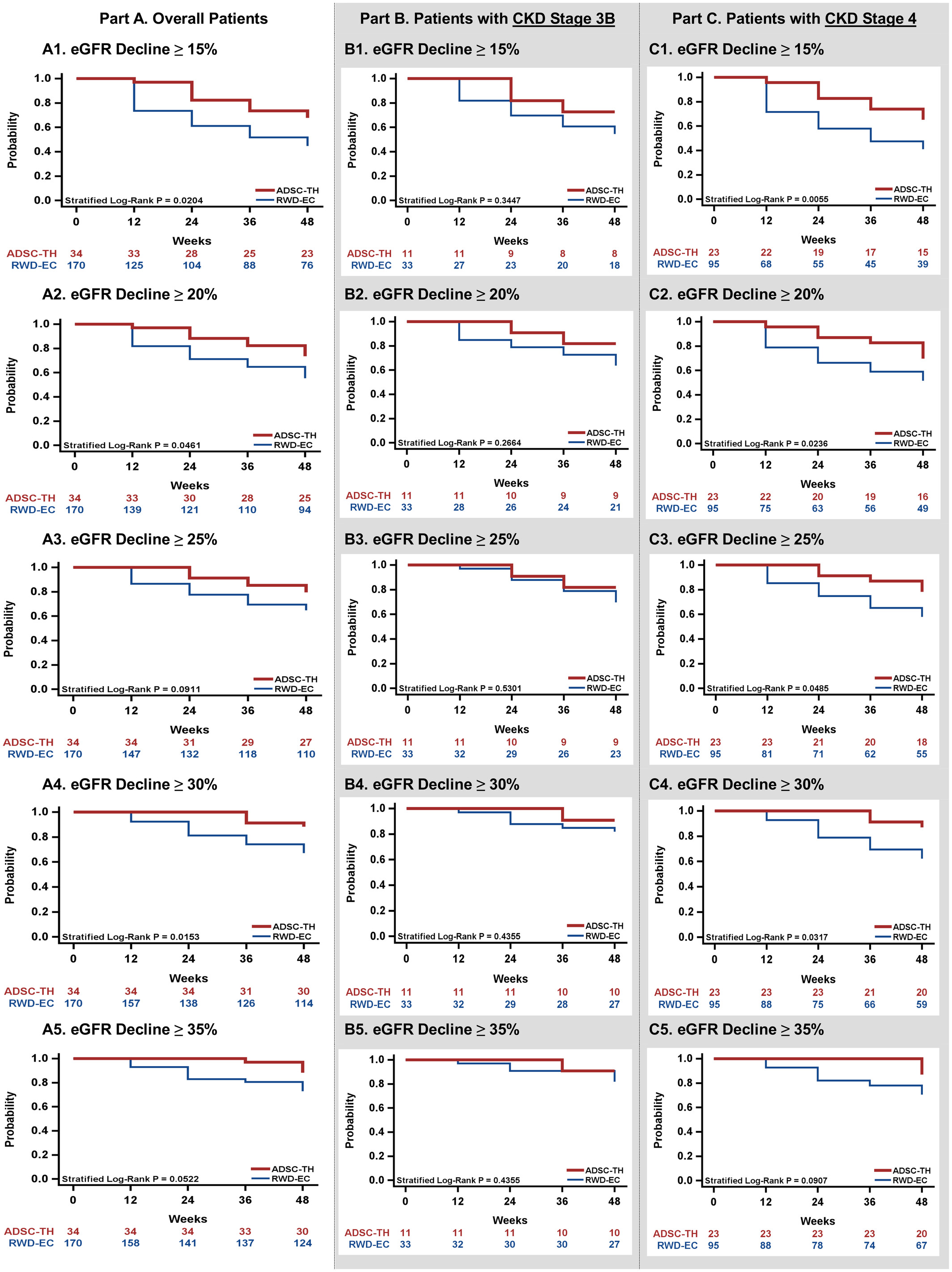
在ADSC治療組和RWD EC組中,我們評估了不同eGFR下降閾值下腎功能下降的風險,并按總體人群、CKD 3B期和CKD 4期進行分層(圖3)。

風險分析證實,ADSC治療能大幅降低腎功能惡化風險:
- 總體人群中,eGFR下降≥30%的風險比(HR)為0.276,意味著風險降低了約72.4%(p<0.05)。
- 在CKD4期亞組中,eGFR下降≥15%和≥30%的風險也分別顯著降低55.8%(HR=0.442)和72.4%(HR=0.276)。
Kaplan-Meier生存分析進一步顯示(圖4),對照組達到eGFR下降30%終點的累積風險速度,在總體人群和CKD 4期患者中均顯著快于ADSC治療組(p值分別為0.0153和0.0317)。

這共同表明,ADSC治療能有效延緩腎功能衰退的速度,為晚期慢性腎臟病患者提供了顯著的短期腎臟保護作用。
3.4、低劑量ADSC方案效果最為突出
不同劑量ADSC治療組的短期腎功能變化趨勢存在差異(圖5)。與真實世界數據外部對照組相比,只有低劑量ADSC治療組(6.4×10?個細胞)顯示出明確的腎臟保護作用:其平均估算腎小球濾過率保持穩定,而對照組則呈進行性下降;且其eGFR相對于基線的百分比變化持續保持上升趨勢。

相比之下,中劑量組(19.2×10?個細胞)與對照組的eGFR變化軌跡相似,高劑量組(32.0×10?個細胞)的穩定性雖略高,但均無統計學顯著差異。總體而言,這些結果表明,與其他劑量組相比,低劑量治療在穩定短期腎功能方面效果最為突出。
在延緩腎功能惡化進程方面,低劑量ADSC治療也展現出顯著優勢(圖6)。生存分析顯示,低劑量ADSC治療組在所有eGFR下降閾值下,腎功能惡化的累積風險上升速度均慢于對照組,其中eGFR下降超過30%和35%的風險顯著降低。

而中、高劑量治療組在大多數閾值(如eGFR下降20%、25%、30%、35%)下,與對照組相比均未觀察到風險累積速度的顯著差異。這進一步證實,低劑量ADSC治療與更高的短期腎功能穩定性相關,其延緩疾病進展的效果優于中、高劑量。
四、 討論與結論:意義、啟示與未來方向
4.1、研究設計的科學價值
本研究通過創新性整合RWD構建高質量外部對照,成功克服了單臂試驗缺乏對照的固有缺陷,為在真實世界背景下嚴謹評估細胞療法療效提供了可復制的范例,增強了證據的可靠性與外推性。
4.2、短期療效的臨床價值與長期展望
盡管觀察期為48周,但研究中觀察到的腎功能穩定具有重要臨床意義。對于中晚期CKD患者,即使是短暫的腎功能下降也與透析、終末期腎病及死亡風險增加密切相關。因此,在48周內維持eGFR穩定意味著有效的疾病控制。這可能是ADSC通過再生與免疫調節機制啟動腎臟修復過程的早期信號,為改善長期預后奠定了基礎,但此效果需未來更長時間的隨訪研究來最終證實。
4.3、劑量-反應關系的意外發現與機制探討
研究結果顯示,療效與劑量并非簡單的線性關系。低劑量ADSC(6.4×10?個細胞)表現出最佳的腎功能穩定效果,而中、高劑量組的效果相對不顯著。
這一現象與某些同類研究結論一致,可能的原因包括:ADSC主要通過旁分泌信號激活機體自身修復系統,而非直接替代受損細胞;過高的劑量可能引發不必要的免疫或炎癥反應,抵消其保護作用。這一發現提示,確定一個能夠充分激活修復反應、兼具安全性與成本效益的“治療窗口”至關重要。
4.4、綜合結論與未來展望
綜上所述,異體脂肪來源干細胞(ADSC)療法,特別是低劑量方案,在短期內能顯著穩定晚期CKD患者的腎功能,并大幅降低腎功能惡化風險,且在所有劑量下均表現出良好的安全性與耐受性。其作用機制可能超越傳統藥物,直指腎臟損傷修復。
未來需要開展更大規模、更長隨訪期的III期臨床試驗,以驗證長期療效,并進一步闡明其生物學機制,優化治療策略,最終推動這一有前景的療法惠及廣大患者。
參考資料:
[1]Y.-C. Lin, Y.-P. Hung, Y.-C. Tian, et al., “ Real-World Data as External Control in Assessing the Efficacy of Allogeneic Adipose-Derived Stem Cells Therapy for Advanced Chronic Kidney Disease,” Clinical and Translational Science 18, no. 12 (2025): e70415, https://doi.org/10.1111/cts.70415.
免責說明:本文僅用于傳播科普知識,分享行業觀點,不構成任何臨床診斷建議!杭吉干細胞所發布的信息不能替代醫生或藥劑師的專業建議。如有版權等疑問,請隨時聯系我。
掃碼添加官方微信