脊髓損傷(Spinal Cord Injury, SCI)是中樞神經系統最嚴重的致殘性疾病之一,其引發的突發性癱瘓和不可逆性神經功能喪失,導致全球超1500萬患者面臨永久性運動/感覺功能障礙。
脊髓損傷的急性期治療存在爭議:脊髓損傷(SCI)的急性期管理包括血流動力學穩定、手術固定及甲基強的松龍注射,旨在減輕炎癥和脊柱保護。
然而,類固醇療法的有效性仍存爭議:早期研究支持其獲益,但近期薈萃分析表明其無法改善神經功能預后,且與胃腸道出血、肺炎及高血糖等并發癥風險顯著增加相關,高劑量方案亦未證實能促進運動或感覺恢復。

長期康復面臨固有挑戰:脊髓損傷后的功能恢復主要依賴物理治療,但因中樞神經系統再生能力有限而收效受限。
其根本原因包括:損傷區復雜的神經連接難以重建、抑制性微環境阻礙修復、膠質瘢痕形成物理屏障,以及內源性干細胞匱乏導致自我修復能力低下。
細胞移植提供新治療方向:鑒于上述局限,細胞移植療法已成為極具前景的研究熱點。
移植的細胞(如干細胞)可能通過多重機制改善預后:促進軸突再生與髓鞘修復以重建神經通路,同時釋放神經營養因子保護存活神經元,從而為突破當前治療瓶頸帶來新希望。
間充質干細胞和胚胎干細胞治療脊髓損傷的效果怎么樣,能改善ASIA分級、感覺、運動功能嗎?
近期,國際權威期刊雜志《Global Spine Journal》刊發了一項有關干細胞治療脊髓損傷的人體研究的系統評價和薈萃分析的研究[1]。

研究結果表明:共納入30項研究,涉及656例患者,其中43.3%的患者ASIA分級改善,49.4%的患者運動功能改善,73.6%的患者感覺功能改善。膀胱和腸道結局的定性分析表明感覺和控制功能總體改善。未報告嚴重不良事件。最常見的副作用較輕,可在數小時至數周內緩解,無需額外治療。
目前治療脊髓損傷的干細胞類型有哪些?為何胚胎干細胞和間充質干細胞更具有潛力?
當前研究治療脊髓損傷的干細胞類型:目前探索用于治療脊髓損傷的干細胞主要包括間充質干細胞 (MSC)。此外,研究中也常涉及神經干細胞 (NSC)、少突膠質前體細胞 (OPC)、誘導多能干細胞 (iPSC) 和胚胎干細胞 (ESC) 等。

間充質干細胞 (MSC) 的潛力:間充質干細胞 (MSC) 因其在創傷性脊髓損傷 (SCI) 治療中的潛力而成為研究最廣泛的干細胞類型之一。主要源于其來源廣泛多樣(臍帶、胎盤、骨髓、脂肪等)、易于分離擴增、移植后免疫原性極低,以及關鍵的治療機制——強大的旁分泌作用(抑制炎癥、促進血管生成、提供神經保護和抗凋亡環境),能有效改善損傷微環境,而非單純依賴細胞替代。
胚胎干細胞 (ESC) 的潛力:目前,普遍認為其潛力在于真正的多能性(全能性),理論上能分化為包括神經元和少突膠質細胞在內的所有神經細胞類型,為損傷脊髓提供最全面的細胞替換可能性,這是其他類型干細胞(如MSC)通常難以完全實現的。
間充質和胚胎干細胞治療脊髓損傷的療效:人體研究的系統評價和薈萃分析
目的:本研究旨在對胚胎干細胞和間充質干細胞治療人類創傷性脊髓損傷 (SCI) 的文獻進行系統綜述和薈萃分析。主要結局指標包括美國脊髓損傷協會 (ASIA) 總體評分、ASIA運動和感覺評分、排尿和排便功能、疼痛以及不良事件。
方法:納入接受胚胎干細胞、誘導性多能干細胞或間充質干細胞治療SCI的18-80歲患者。研究質量分別使用Cochrane偏倚風險2工具和紐卡斯爾渥太華量表 (Newcastle Ottawa scale) 進行評估,其中隨機研究為18-80歲。
本系統綜述初始從PubMed和Embase共檢索到788項研究,去除114項重復后,對674項獨立研究進行篩選。經過標題/摘要評估和全文資格審查,最終納入30項符合條件的研究進行分析(詳見圖1PRISMA流程圖)。這些研究共涉及656名脊髓損傷患者,平均年齡約34歲,男性占主導(約79%)。患者在干細胞治療前平均已患病約52個月,治療后平均隨訪約8個月。損傷部位以頸椎(39.5%)和胸椎(32.6%)最為常見。

在納入的研究中,間充質干細胞 (MSC) 是絕對主流的細胞類型,被28項(90.3%)研究使用;而胚胎干細胞 (ESC) 僅被3項(9.7%)研究采用,誘導多能干細胞 (iPSC) 則未被任何納入的研究使用。干細胞的主要給藥途徑是硬膜內注射(18項研究),其次是病灶內注射(4項)和多種方法聯合應用(7項),靜脈注射和經皮注射各僅有1項研究使用。表1提供了納入研究的詳細特征。


ASIA總體評分改善情況:在報告總體ASIA評分的22項研究(578例患者)中,治療前70.6%患者為損傷最嚴重的A級(408例),B級、C級和D級分別占14.2%、13.3%和1.9%。
圖2A匯總的改善發生率為0.433 (0.384, 0.483),這意味著43.3%的患者治療后ASIA評分獲得整體改善(改善率0.433,95%CI: 0.384-0.483)。

具體而言,在報告平均等級變化的18項研究中,絕大多數(13項)實現≥1級的平均提升,僅2項提升<1級,3項無變化,且無任何研究出現評分下降(詳見表2)。

對照組改善率顯著低于干細胞組:四項研究的對照組數據(68例患者)顯示,基線時98.5%為ASIA A級(67例),僅1例為B級。對照組ASIA改善的匯總發生率僅為9.6%(95%CI: 0.030-0.185),顯著低于干細胞治療組的43.3%(P<0.001),凸顯干細胞干預的潛在效果(圖2B)。
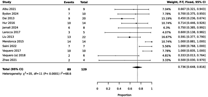
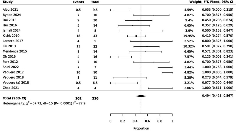
感覺與運動功能改善差異:感覺功能改善更為顯著。12項研究(129例患者)報告ASIA感覺評分改善,匯總發生率高達73.6%(0.736, 95%CI: 0.648-0.816)。而運動功能改善率相對較低,16項研究(209例患者)的匯總發生率為49.4%(0.494, 95%CI: 0.421-0.567),表明感覺恢復可能優于運動恢復(圖3、圖4)。


膀胱功能改善顯著:19項研究通過膀胱容量、殘余尿量、順應性等指標評估干細胞治療對脊髓損傷患者膀胱功能的影響。多數研究(如Cheng、Vaquero、Dai等團隊)報告膀胱控制能力提升,具體表現為最大充盈容量增加、殘余尿量減少及順應性提高。其中Pal和Vaquero團隊分別觀察到2/24例和5/12例患者膀胱功能完全恢復。但Albu和Vaquero的個別研究未發現尿動力學參數顯著變化(表3)。

腸道功能積極改善:15項研究中,9項報告患者腸道感覺與控制能力整體提升。Vaquero團隊在三項獨立試驗中證實神經源性腸功能障礙(NBD)評分改善(7/11例、4/6例、7/10例),Hur團隊發現2/14例患者肛門收縮功能增強。僅Albu團隊報告治療組與對照組腸道功能無顯著差異(表3)。
疼痛緩解效果明確:7項研究采用視覺模擬量表(VAS)評估疼痛變化。Larocca(3/5例)、Oh(9/16例)、Vaquero(7/8例)等團隊均觀察到VAS評分下降,其他研究也報告VAS評分平均降低1-4分(表3),表明干細胞治療對緩解脊髓損傷相關疼痛具有積極效果。
安全性:所有研究均未報告死亡、嚴重感染、永久性神經損傷、呼吸窘迫或腫瘤等嚴重不良事件。其中11項研究明確聲明無任何不良事件發生,19項研究僅觀察到輕微或中度不良反應。唯一記錄的嚴重不良事件來自Mendon?a團隊:1例患者出現腦脊液漏,但經非手術治療后未遺留后遺癥;另Zhao團隊報告1例患者在二次干細胞輸注后出現腦脊液顏色異常(清黃色),但生化檢測結果正常,未造成嚴重后果(詳見表3)。
通過三個方面結果總結干細胞治療脊髓損傷的療效和安全性到底怎么樣?
本系統綜述納入2009-2024年30項研究(656例脊髓損傷患者),間充質干細胞(MSC)是絕對主流療法(27項研究),其優勢在于來源廣泛(骨髓、脂肪、胎盤等)、操作便捷(局麻下可注射、易培養儲存)。胚胎干細胞(ESC)僅用于3項研究,受限倫理爭議;誘導多能干細胞(iPSC)未被采用,反映其技術新穎性、分化復雜性及潛在致瘤性擔憂。
神經功能改善顯著
薈萃分析顯示:43.3%患者ASIA總體損傷等級提升(顯著高于對照組的9.6%,P<0.001),其中72%研究實現平均≥1級改善。感覺功能改善率(73.6%)高于運動功能(49.4%)。該結果與既往研究一致(如Mototo-Meijide報告7-100%改善率,Chen證實間充質干細胞優于單純康復治療),表明干細胞療法可促進具有臨床意義的感覺與運動恢復。
膀胱與腸道功能獲益明確但需標準化評估
19項膀胱功能研究中,17項報告改善(如膀胱容量增加、殘余尿減少、順應性提升);15項腸道功能研究中,14項證實控制能力增強或神經源性腸功能障礙評分降低。然而,評估指標異質性(涵蓋主觀報告與尿動力學等客觀數據)阻礙了薈萃分析。需注意:雖近半數患者獲益(如Shang研究),但改善程度可能未完全滿足患者預期,突顯未來需建立標準化評估體系。
安全性總體良好
30項研究中,11項報告零不良事件,19項僅出現輕微至中度短暫反應(頭痛、發熱等,24小時-2周內自愈)。僅兩例嚴重事件報告:一例腦脊液漏經非手術治愈,一例腦脊液變色無后遺癥。此安全性與既往研究一致(Chen未發現嚴重并發癥,Shang在2439例中僅28例輕微反應),可能歸因于廣泛采用自體MSC,顯著降低免疫排斥風險。
寫在最后:脊髓損傷 (SCI) 患者接受干細胞移植似乎可在一定程度上改善其整體ASIA分級、運動、感覺、膀胱和腸道功能,并伴有相對輕微且短暫的副作用。
本綜述發現,43.3%的患者ASIA分級改善,49.4%的患者運動功能改善,73.6%的患者感覺功能改善。雖然這些結果表明MSC移植可能是SCI的一種可行治療選擇,但進一步的研究,尤其是高質量的盲法RCT,對于優化治療方案并實現更一致、更佳的臨床療效至關重要。
主要參考資料:
[1]Troiani Z, Chipman DE, Ryan TJ, et al. Efficacy of Mesenchymal and Embryonic Stem Cell Therapy for the Treatment of Spinal Cord Injury: A Systematic Review and Meta-Analysis of Human Studies. Global Spine Journal. 2025 May:21925682251345450. DOI: 10.1177/21925682251345450. PMID: 40407042; PMCID: PMC12102082.
免責說明:本文僅用于傳播科普知識,分享行業觀點,不構成任何臨床診斷建議!杭吉干細胞所發布的信息不能替代醫生或藥劑師的專業建議。如有版權等疑問,請隨時聯系我。
掃碼添加官方微信