背景
骨髓間充質干細胞和脂肪組織間充質干細胞靜脈移植已被報道在急性和亞急性期腦卒中患者臨床結局的恢復中是有效、安全和有希望的,但慢性期的臨床研究仍然有限。據悉,為了更好地恢復神經功能障礙,建議在中風發作后盡早進行干細胞治療。據我們所知,先前報道的干細胞治療中風的臨床研究沒有描述靜脈內干細胞移植期間和結束后立即發生的功能變化的細節。
自體干細胞移植治療21例慢性腦卒中患者的作用

目的
在本研究中,我們旨在闡明自體脂肪干細胞 (ADSC) 對中風發作后4個月后接受自體脂肪干細胞靜脈滴注治療的慢性中風患者的影響。此外,我們旨在檢測功能恢復的時間,并找出決定自體脂肪干細胞療效的臨床因素。
患者和方法
我們評估了間充質干細胞治療對21名中風患者的影響,這些患者有7名缺血性損傷和1??4名出血性損傷,發病時年齡在40-79歲之間,重點關注
- 1) 在中風發作和自體脂肪干細胞治療之間的時間間隔,
- 2)中風發作的年齡,
- 3) 移植細胞的數量,以及
- 4) 確認細胞移植的任何第一個功能結果所需的時間。
ADSC由取自腹部皮膚的2-3小塊皮下脂肪制備。將切成小塊的材料放在支架上,用添加了4%自體血清的培養基培養11至13天。培養21天后,將懸浮于200ml生理鹽水中的平均1.0×108個細胞靜脈內給藥于患者。
結果
中風發作和干細胞治療之間的時間差對功能恢復的影響
中風發作后6個月內接受自體脂肪干細胞治療的四名患者和中風發作后6個月至12個月內接受自體脂肪干細胞 治療的三名患者表現出明顯的功能恢復大于NIHSS1,但在14名患者中在中風后12個月以上接受自體脂肪干細胞治療的患者中,9名患者的恢復高于NIHSS1,5名患者未通過NIHSS恢復(圖2)。這些結果表明,干細胞治療中風獲得功能恢復的因素,與在較短的時間內接受多次干細胞治療有關。

中風發作后6個月內(??■ 淺藍色)、6至12個月(■淺灰色)和12個月后(■深藍色)接受ADSC治療的患者人數表明,疾病發作到ADSC治療的滯后時間更短更有效 (NIHSS?1),三分之一接受ADSCs治療的患者在12個月后幾乎沒有功能恢復。
施用干細胞數量對腦卒中患者功能恢復的影響
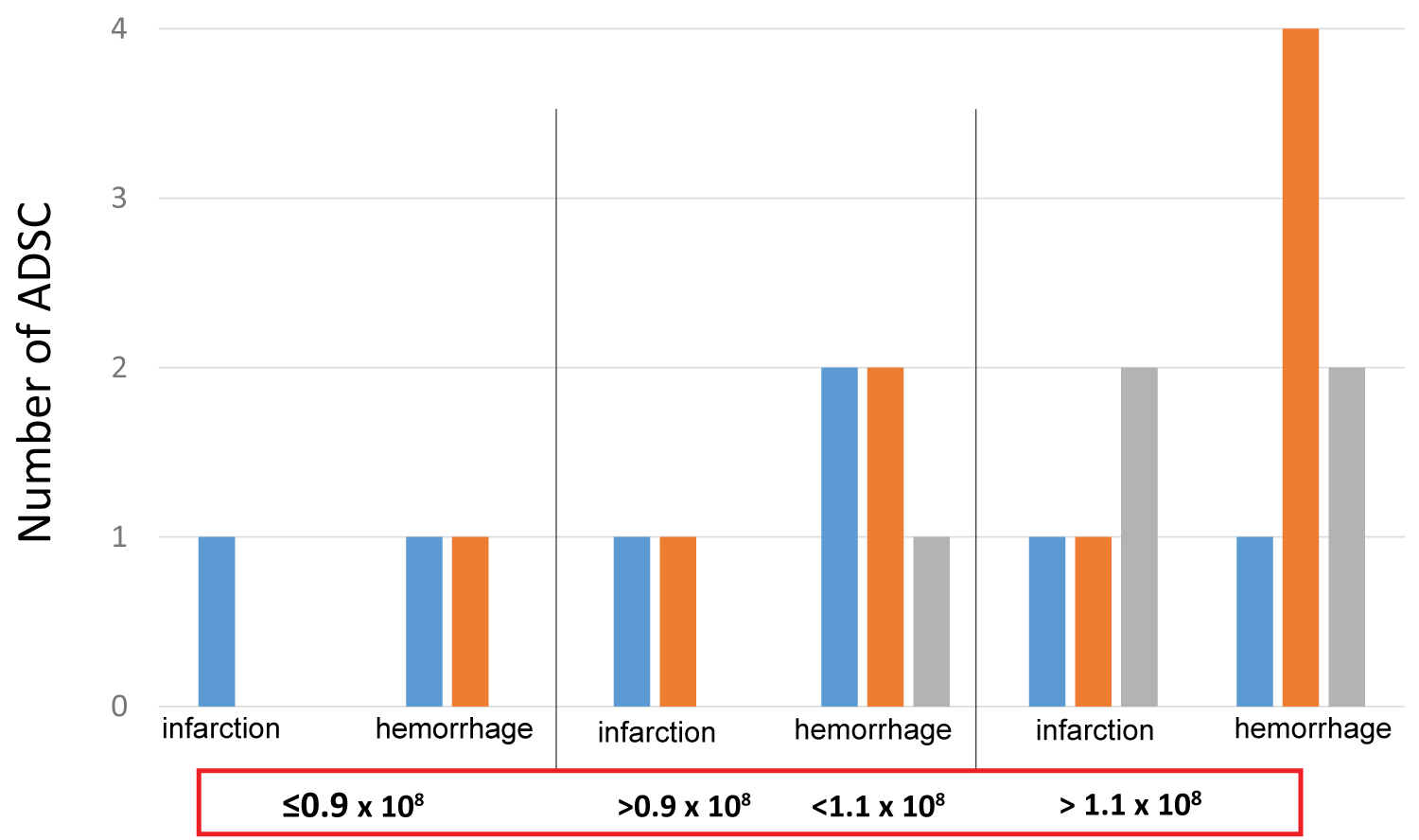
在接受小于0.9×108個細胞(0.6~0.8×108)治療的三名患者中,兩名患者恢復大于或等于3NIHSS,一名患者恢復低于3NIHSS。在接受ADSC細胞數在0.9和1.1×108之間的7名患者中,3名患者的恢復率高于NIHSS3,而另外3名患者的恢復率低于NIHSS3(圖3)。在接受1.4×108自體脂肪干細胞輸注的11名患者中,2名恢復高于NIHSS3,5名恢復低于NIHSS3,4名未恢復功能。這些結果表明自體脂肪干細胞細胞數量在0.6×108和1.4×108之間對慢性中風患者有相似的恢復作用。

在21名患有梗塞(7例)或出血(14例)的患者中使用NIHSS評估了自體脂肪干細胞數量的影響。與接受超過1.1×108自體脂肪干細胞治療的患者相比,即使接受少于0.9×108自體脂肪干細胞的患者也顯示出相似的療效。■藍色、■橙色和■灰色分別表示顯示HIHSS功能恢復的患者人數?3、?3和無效果。
年齡對干細胞療法治療中風的影響
在7名大于NIHSS10的患者中,3名患者小于50,1名患者在50至70之間,1名患者70歲以上顯示NISHH功能恢復大于3(圖4)。一名年齡在50至70歲之間的患者和一名年齡大于70歲的患者顯示NIHSS小于3。在14名NIHS低于10的患者中,一名年齡小于50歲的患者和一名年齡大于70歲的患者顯示NIHSS恢復大于3。三名患者50歲以下和4名50至70歲的患者顯示NIHSS恢復低于3,而1名50歲以下的患者和4名50至70歲的患者沒有功能恢復。這些結果表明自體脂肪干細胞功效可能不受治療年齡的影響。

自體脂肪干細胞治療的患者分為兩組,一組顯示NIHSS恢復>10,另一組顯示10。■藍色條表示患者總數,■橙色、■灰色和■淺橙色條表示年齡小于50歲,分別為50至70歲和70歲以上。
靜脈注射干細胞后首次出現功能恢復所需的時間
21例患者中,9例3小時內功能恢復,5例3小時至30天功能恢復(圖5)。兩名患者在一個多月后表現出功能恢復。其余5例在自體脂肪干細胞治療后一年內未見任何恢復。這些結果有力地表明,接受靜脈內輸注自體脂肪干細胞治療的中風患者的功能恢復可能在細胞輸注后不久出現,表明自體脂肪干細胞與內在神經元和血管細胞的間接相互作用。

21例中9例在自體脂肪干細胞治療后3小時內功能恢復,5例3小時后功能恢復但早于1個月,2例功能恢復晚于1個月。5例在自體脂肪干細胞治療后一年未恢復。
脂肪干細胞移植對偏癱患肢皮溫的影響
病例3,四肢皮膚冰涼偏癱,在自體脂肪干細胞移植過程中,皮膚溫度恢復到與健康肢體皮膚相似的水平。我們遇到過一些在自體脂肪干細胞輸注期間或輸注結束時表現出微紅皮膚的病例。該結果表明,自體脂肪干細胞療法可能通過從培養細胞中作為細胞外囊泡排出的小分子對血液循環恢復產生影響,因為輸注后數小時內的恢復對于輸注細胞到達受損腦區來說太早了。為了證實和闡明靜脈注射自體脂肪干細胞治療對中風患者皮膚溫度的影響,我們需要在未來測量更多中風患者的皮膚溫度。
結果
在靜脈內自體脂肪干細胞移植期間和之后很早的時間觀察到運動、感覺和認知功能恢復以及皮膚溫度升高。此外,NIHSS評估的功能恢復在很早的時間得到確認,大約在開始自體脂肪干細胞治療后兩到三個小時。與中風發作后12個月后接受自體脂肪干細胞治療的患者相比,在卒中發作后6個月內接受自體脂肪干細胞點滴治療的患者表現出更明顯的功能恢復。患者年齡、施用的干細胞數量(從0.6×108到1.4×108)和缺血或出血性損傷不影響自體脂肪干細胞治療的療效。
討論與結論
這些結果有力地表明,用自體脂肪干細胞治療中風患者的功能恢復可能在細胞輸注后很快出現,表明自體脂肪干細胞與內在神經元和血管細胞的間接相互作用,以及90分鐘輸注期間源自ADSC的細胞外囊泡的關鍵作用。
決定自體脂肪干細胞輸注治療慢性中風患者療效的最重要因素之一可能是中風發作之日與自體脂肪干細胞治療之日之間的時間差。仍有待進一步研究推薦自體脂肪干細胞治療作為慢性中風最有希望的治療方式之一,特別是闡明腦損傷部位與自體脂肪干細胞治療療效的關系。
參考資料:Ichihashi M、Tanaka M、Iizuka T、Nagoe N、Sato Y 等。(2020) 靜脈注射自體脂肪細胞來源的干細胞對慢性中風患者的治療效果。Int J Stem Cell Res Ther 7:070。doi.org/10.23937/2469-570X/1410070
免責說明:本文僅用于傳播科普知識,分享行業觀點,不構成任何臨床診斷建議!杭吉干細胞所發布的信息不能替代醫生或藥劑師的專業建議。如有版權等疑問,請隨時聯系我。
掃碼添加官方微信