2型糖尿病(T2DM)是全球中老年人群中最常見的慢性疾病之一,尤其在40歲以上人群中發病率顯著增加。據統計,全球約有近2億40歲以上成年人受其影響,且多數患者長期依賴口服降糖藥或胰島素控制血糖。
然而,傳統治療難以逆轉胰島β細胞功能下降,也無法有效改善長期并發癥風險。近年來,干細胞療法作為一種新興治療手段,因其具備修復受損胰島細胞、調節免疫和改善代謝環境的潛力,成為學術界和臨床探索的熱點。
那么,干細胞療法在40歲以上2型糖尿病患者中的療效如何呢?本文將從作用機制、臨床療效、安全性及未來展望等方面,全面分析干細胞療法在這一年齡群體中的應用價值。

一、干細胞療法為什么可以治療2型糖尿病?
干細胞是一類具有自我復制和多向分化能力的細胞,能夠在體內修復受損組織。在2型糖尿病治療中,干細胞療法主要通過以下機制發揮作用:
- 修復受損胰島β細胞:干細胞可以分泌生長因子和細胞外囊泡,促進β細胞存活和再生,從而改善胰島功能。
- 改善胰島素抵抗:干細胞能夠調節肝臟、肌肉和脂肪組織的代謝狀態,幫助降低血糖水平。
- 抗炎和免疫調節:干細胞可抑制慢性低度炎癥,改善糖尿病相關的免疫失衡,為胰島細胞提供更健康的環境。
綜合以上機制,干細胞療法在理論上不僅可以改善血糖控制,減少藥物依賴,還可能對糖尿病并發癥產生一定的輔助保護作用,為患者提供新的治療思路。
二、40歲以上2型糖尿病患者的特殊考慮
在探討干細胞療法的應用效果時,需要特別關注40歲以上的2型糖尿病患者群體。與年輕患者相比,這一年齡段的患者通常具有一些特殊生理特點:
首先,胰島功能下降明顯。長期高血糖會導致β細胞損傷,使其數量和功能顯著下降,恢復難度增加。
其次,并發癥風險較高。心血管疾病、腎臟損傷和視網膜病變等并發癥在中老年患者中更為常見,這也影響了治療策略的選擇和效果。
另外,免疫功能減弱也是一個需要考慮的因素。這可能對干細胞的存活率和治療反應產生一定影響。
因此,雖然干細胞療法在理論上可以改善胰島功能和代謝環境,為患者提供潛在益處,但其實際效果可能會受到患者年齡、糖尿病病程和合并癥的影響。在臨床應用中,需要結合患者的整體健康狀況進行個性化評估和治療方案設計。

三、臨床研究與療效證據
01.自體干細胞重建胰島功能:59歲患者的突破性恢復
2024年4月30日,上海長征醫院牽頭在《cell discovery》期刊上發表了一篇名為《利用個性化內胚層干細胞衍生的胰島組織治療胰島功能受損的2型糖尿病患者》的臨床研究成果。[1]
本文報道了一例將體外自體內皮干細胞分化而來的胰島組織(E-胰島)移植到胰島素分泌受損的2型糖尿病患者體內的病例。該患者為一名59歲男性,有25年的2型糖尿病病史。

研究團隊利用患者自身的內胚層干細胞(EnSCs)在體外分化生成具有胰島素分泌功能的E-胰島,并通過經肝門靜脈移植方式將其植入患者體內,旨在改善其胰島功能。
臨床隨訪長達116周,結果顯示療效顯著:
- 血糖控制幾乎在術后2周就明顯改善:平均血糖波動(MAGE)從5.5mmol/L 降至3.6mmol/L,TITR(血糖達標時間)從56.7%提升至77.8%。
- 高血糖與低血糖事件均消失,血糖波動持續改善并在后期趨近穩定。
- 胰島素逐漸減量并于第11周停用;口服降糖藥也在半年左右完全停用。
- C肽和胰島素水平明顯提高,提示移植組織已具備穩定的胰島素分泌能力。
- 糖化血紅蛋白從6.6%降至4.6%,達到極佳的長期控制水平。
- MRI與腫瘤標志物檢測未發現腫瘤或其他安全性問題,僅出現短暫腹脹與輕度體重下降。
實驗研究也證明,干細胞療法具有良好安全性,不會形成腫瘤;自體來源也提高了移植后的免疫耐受性。
總體來看,這一案例展示了利用個性化干細胞衍生胰島組織治療長期2型糖尿病的可行性和潛在突破,為未來中老年患者尤其是胰島功能嚴重下降的人群提供了新的治療方向。
02.301例真實世界數據:中老年2型糖尿病的多系統改善
2025年5月19日,馬來西亞科研人員在國際知名期刊《糖尿病、代謝綜合征與肥胖》上發表了一篇關于《臍帶間充質干細胞輸注治療2型糖尿病患者:一項回顧性細胞學注冊研究》的研究成果。[2]
本研究旨在通過多種臨床評估,評估靜脈輸注同種異體臍帶間充質干細胞 (UC-MSCs) 對2型糖尿病患者的臨床療效。共選擇了接受干細胞療法治療的301名2型糖尿病患者,符合納入和排除標準。
其中,6個月隨訪期內,男性患者167例,女性患者51例;12個月隨訪期內,男性患者72例,女性患者11例。6個月隨訪時患者平均年齡為61.5歲,12個月隨訪時為60.8歲。

研究結果表明:
1.炎癥與血糖控制:基線hs-CRP≥1.5 mg/L的患者,經UC-MSCs治療后,6個月時hs-CRP呈下降趨勢,12個月時顯著降低;同時糖化血紅蛋白(HbA1c)同步下降,表明該療法可減輕炎癥并改善血糖控制。
2.心血管功能:UC-MSCs輸注使患者收縮壓和舒張壓顯著下降,提示其可能通過改善血管功能、減輕炎癥和代謝障礙,帶來心血管獲益。
3.肝功能修復:治療6個月后,γ- 谷氨酰轉肽酶(GGT)和丙氨酸氨基轉移酶(ALT)水平顯著降低。作為肝細胞損傷標志物,二者下降表明 UC-MSCs 可通過調節炎癥和代謝,改善非酒精性脂肪性肝病(NAFLD)相關的肝臟損害。
4.腎臟保護作用:約24%的患者存在腎功能損傷(eGFR<60 mL/min/1.73 m2),其中 CKD 2期患者經治療后eGFR顯著升高、肌酐水平下降;晚期CKD患者的尿素氮(BUN)從異常降至正常范圍,表明UC-MSCs可延緩糖尿病腎病進展,促進腎臟修復。
5.性激素調節:12個月隨訪顯示,男性睪酮和女性雌二醇水平顯著升高。睪酮和雌二醇可分別通過增強葡萄糖轉運和胰島素敏感性,改善糖尿病患者的代謝功能。
此外,治療過程中尿酸水平無顯著變化,表明UC-MSCs主要作用于腎臟功能和炎癥調節,而非尿酸代謝。
總體而言,這項真實世界研究證明了干細胞療法對中老年2型糖尿病患者具有多系統、全方位的改善作用,不僅有助于控制血糖,還能對心、肝、腎等長期受損的器官提供保護,為40歲以上的糖尿病患者帶來新的治療希望。
03.60歲重度糖尿病患者:三次干細胞輸注后的全面好轉
2025年7月25日,安徽醫科大學第五臨床醫學院在《罕少疾病雜志》上發表了一篇題為《人臍帶充質干細胞治療2型糖尿病的一例報告并文獻復習》的研究報告,給廣大糖尿病患者帶了康復的新希望。[3]

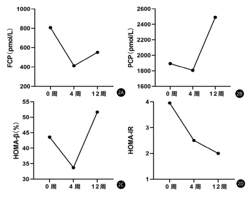
該研究選取的是1名確診為2型糖尿病60歲男性患者,因20年前口干、多飲、多尿,血糖升高,診斷為2型糖尿病,有高血壓病史。6年前因血糖控制不佳,調整治療方案為門冬胰島素30注射液18U 三餐前、甘精胰島素注射液8U 睡前、曲格列汀100mg 每日1次+飲食運動治療,血糖控制差,HbA1C:8.5%,空腹c肽:807pmol/L。
最終確診為:2型糖尿病合并糖尿病視網膜病變、高血壓和脂肪肝。在常規治療收效甚微后,醫療團隊制定了周密的干細胞治療方案。
2022年6月19號于北京大學深圳醫院內分泌科接受三次臍帶間充質干細胞(hUC-MSCs)靜脈注射。研究結果發現:
1.血糖明顯改善:在隨訪過程中,患者第4、12周糖化血紅 蛋 白 均 控 制 達 標 , 其 中 在 第 1 2 周 , 糖 化 血 紅 蛋 白 降至最低,為5.3%;在隨訪過程中,患者空腹血糖(Fastingblood glucose,FBG)持續下降。餐后2小時血糖(2-hour postprandial blood glucose,PBG)均低于基線水平。(圖1)

2.胰島功能逐步改善:靜脈輸注臍帶間充質干細胞后,患者FCP在第4周下降至最低,隨后上升;而PCP在輸注臍帶間充質干細胞后,在4周后開始上升至12周;就HOMA-β而言,在4周后開始上升,于12周到達高值;而HOMA-IR,在輸注hUC-MSCs后持續下降至12周,胰島功能恢復與胰島素抵抗減輕均于12周到達最佳效果。

3.逐漸減少降糖藥:患者在前三次輸注臍帶間充質干細胞后逐漸實現降糖藥物減量,到第4周實現了減停口服降糖藥物,到4周胰島素用量較基線胰島素用量下降大于50%。(見表1)

4.安全性:整體來看,治療安全性良好。余心電圖、胸片、感覺閾值未見明顯異常,未見肺部、肝膽脾胰等臟器出現新發結節/腫瘤等情況,隨訪過程中未出現感染、嚴重低血糖及急性心腦血管等事件。
病例表明,靜脈輸注人臍帶間充質干細胞(UC-MSCs)可能成為2型糖尿病的安全有效干預策略,其通過改善糖化血紅蛋白(HbA1c)水平、部分性恢復胰島β細胞功能及減輕胰島素抵抗三重機制,為疾病管理提供新型治療選擇。
四、40歲患者進行干細胞療法是否會有安全性問題?
2022年5月3日,中國人民解放軍總醫院在行業期刊《干細胞研究與治療》上發表了一篇該院在干細胞治療中國2型糖尿病成人患者的療效和安全性:一項單中心、雙盲、隨機、安慰劑對照的II期臨床試驗成果。[4]

研究結果顯示:在長達48周的隨訪期間,不良事件整體可控,且未觀察到與干細胞治療直接相關的嚴重副作用。
對于40歲以上的糖尿病患者而言,這一結果具有重要意義:
- 說明干細胞療法在中老年人群中耐受性良好;
- 未出現心腦血管、腫瘤、生化指標異常等治療相關風險;
- 研究設置嚴格(雙盲+對照組),更能排除偶發事件的干擾,數據可信度高。
整體來看,干細胞治療在中老年2型糖尿病患者中呈現出較好的安全性基礎,為后續更大規模人群應用提供了可靠依據。
五、未來發展與應用前景
干細胞療法在中老年T2DM患者中的發展前景廣闊:
- 技術升級:基因編輯、細胞封裝和干細胞衍生胰島技術將提升存活率和療效;
- 個性化治療:結合患者年齡、病程和并發癥設計方案,提高治療效果;
- 綜合管理:干細胞療法與藥物、飲食和運動聯合,有望形成全面的治療方案。
隨著大型臨床試驗和長期隨訪數據積累,干細胞療法有望成為中老年2型糖尿病的重要輔助治療手段。
總結與核心建議
干細胞療法在40歲以上2型糖尿病患者中展示了改善血糖控制、修復胰島功能和潛在并發癥保護的潛力,但療效因個體差異而異。目前仍處于臨床驗證階段,患者應:
- 選擇正規醫療機構進行治療
- 配合生活方式管理和藥物治療
- 定期隨訪監測療效和安全性
干細胞療法為中老年T2DM患者提供了新的治療方向,但謹慎、科學地應用仍是關鍵。
參考資料:
[1]Wu J, Li T, Guo M, Ji J, Meng X, Fu T, Nie T, Wei T, Zhou Y, Dong W, Zhang M, Shi Y, Cheng X, Yin H; Clinical Group. Treating a type 2 diabetic patient with impaired pancreatic islet function by personalized endoderm stem cell-derived islet tissue. Cell Discov. 2024 Apr 30;10(1):45. doi: 10.1038/s41421-024-00662-3. PMID: 38684699; PMCID: PMC11058776.
[2]Chin SP, Kee LT, Mohd MA, Then KY. Umbilical Cord-Derived Mesenchymal Stem Cells Infusion in Type 2 Diabetes Mellitus Patients: A Retrospective Cytopeutics’ Registry Study. Diabetes Metab Syndr Obes. 2025 May 19;18:1643-1659. doi: 10.2147/DMSO.S507801. PMID: 40416928; PMCID: PMC12102742.
[3]黃才浩,張帆.人臍帶充質干細胞治療2型糖尿病的一例報告并文獻復習[J].罕少疾病雜志,2025,32(07):3-6.
[4]Zang L, Li Y, Hao H, Liu J, Cheng Y, Li B, Yin Y, Zhang Q, Gao F, Wang H, Gu S, Li J, Lin F, Zhu Y, Tian G, Chen Y, Gu W, Du J, Chen K, Guo Q, Yang G, Pei Y, Yan W, Wang X, Meng J, Zhang S, Ba J, Lyu Z, Dou J, Han W, Mu Y. Efficacy and safety of umbilical cord-derived mesenchymal stem cells in Chinese adults with type 2 diabetes: a single-center, double-blinded, randomized, placebo-controlled phase II trial. Stem Cell Res Ther. 2022 May 3;13(1):180. doi: 10.1186/s13287-022-02848-6. PMID: 35505375; PMCID: PMC9066971.
免責說明:本文僅用于傳播科普知識,分享行業觀點,不構成任何臨床診斷建議!杭吉干細胞所發布的信息不能替代醫生或藥劑師的專業建議。如有版權等疑問,請隨時聯系我。
掃碼添加官方微信