導讀:干細胞治療為1型糖尿病管理開辟了新路徑,通過移植胰島β細胞或誘導多能干細胞分化為胰島β樣細胞,直接補充患者體內胰島素分泌不足。干細胞的再生特性為恢復胰腺功能、調控血糖提供了可能,為1型糖尿病治療帶來革命性突破。
1型糖尿病,以前稱為青少年糖尿病或胰島素依賴型糖尿病,是一種胰腺不產生胰島素或產生極少量胰島素的疾病。胰島素是人體用來幫助葡萄糖進入細胞的重要激素。缺乏胰島素會導致糖在血液中積聚,從而引發并發癥。遺傳和病毒感染等各種因素都會導致1型糖尿病。
雖然這種疾病在兒童和青少年中更常見,但任何年齡的人都可能患上這種疾病。1型糖尿病無法治愈,治療的目的是控制血糖水平,保持健康的生活方式和營養飲食。
- 相關閱讀請瀏覽(1型糖尿病的體征和癥狀是什么?及其治療方法)

1型糖尿病的治療方法
糖尿病患者中,所有的1型糖尿病(T1DM)患者和約1/3的2型糖尿病患者需要終身注射胰島素。然而,胰島素注射不能根據血糖動態變化靈活地調整注射劑量,部分患者面臨血糖控制差、糖化血紅蛋白(HbA1c)不達標、并發癥嚴重,甚至出現低血糖昏迷等致命性的情況。
因此,有效控制糖尿病已成為一項迫切的任務。
1型糖尿病有望被治愈!多個案例證明干細胞治療1型糖尿病的安全性和有效性
近年來,隨著再生醫學的發展,干細胞治療1型糖尿病作為一種新興的治療方法,利用干細胞的自我更新和能夠分化成胰島細胞的潛能,為1型糖尿病患者提供新的修復策略。
本文通過分析總結4項干細胞治療1型糖尿病患者的臨床試驗結果,從而評估干細胞移植作為1型糖尿病的潛在治療方法的安全性和有效性。
①臨床試驗一:間充質干細胞療法改善1型糖尿病患者的β細胞功能
2016年11月,南京大學醫學院附屬南京鼓樓醫院在國際期刊《糖尿病與內分泌學》上發表了一篇關于《沃頓果凍衍生間充質干細胞療法改善1型糖尿病和酮癥酸中毒患者的β細胞功能:一項單中心、單組、開放標簽、2期試驗》的研究成果。【1】

招募了17名1型糖尿病患者(平均年齡15.8歲 [SD1.5])。接受華通氏膠衍生的間充質干細胞(WJ-MSC)治療后,兩名患者失訪并被排除在分析之外。
有效性評估
1.糖化血紅蛋白(HbA1c)濃度降低
與基線時的HbA1c濃度(平均10.7%[SD1.4])相比,所有患者的HbA1c濃度在整個隨訪期間持續降低(3個月時為7.5%[3.4;0.041],6個月時為6.8%[2.3;0.032],12個月時為 7.6% [3.3;0.047],24個月時為7.5%[2.6;0.043])。
2.胰島素需求減少
15名患者中有8名 (53%) 對WJ-MSC治療有反應,即他們將外源性胰島素劑量減少30%以上就可以維持正常血糖 (<5-8mmol/L),血清FCP濃度增加30%以上,或PCP增加50%以上,持續至少3個月。
安全性評估:接受WJ-MSC治療后,兩名患者失訪并被排除在分析之外。未記錄與治療相關的死亡或嚴重不良事件。
結果表明,WJ-MSC療法對于有糖尿病酮癥酸中毒病史的1型糖尿病患者保留胰島β細胞功能是安全可行的,移植前病程可能影響WJ-MSC治療的療效。
②臨床試驗二:干細胞治療1型糖尿病的療效和安全性
2020年10月10日,四川大學華西醫院在國際期刊《Journal of Diabetes Research》上發表了一篇關于《干細胞治療1型糖尿病的療效和安全性:最新的系統評價和薈萃分析》的研究成果。【2】

納入5項隨機對照試驗(RCT)和8項非隨機并行對照試驗(NRCCT),共396人進入meta分析。
有效性評估
1.糖化血紅蛋白水平降低
所有RCT均報告了治療后的HbA1c水平。RCT中發現統計學差異,表明干細胞治療與未進行額外治療相比可以降低HbA1c水平。

2.胰島素劑量減少
與對照組相比,干細胞治療組6個月時的胰島素用量較低,但12個月時的胰島素用量無降低。
5個NRCCT(n=143)報告了治療后的胰島素劑量 。與對照組相比,干細胞治療組的胰島素劑量減少。
3.空腹C肽水平提高
與對照組相比,干細胞治療組的空腹C肽水平顯著升高。

按隨訪不同時間點進行的亞組分析顯示,接受干細胞治療的患者在治療后3、9和12個月的空腹C肽水平均高于未接受額外治療的患者(P均≤0.05)。

安全性評估:如下圖,干細胞治療組與對照組的感染風險和胃腸道癥狀風險差異均無統計學意義。

結果表明,干細胞療法治療1型糖尿病可以改善血糖控制和β細胞功能,并且不會增加嚴重不良事件的風險。干細胞療法也可能對減少胰島素劑量產生短期(3-6 個月)影響。
③臨床試驗三:干細胞移植治療1型糖尿病的安全性和有效性
2022年5月2日,伊朗伊斯蘭共和國德黑蘭醫科大學糖尿病研究中心在國際期刊《Systematic Reviews》上發表了一篇關于《探討造血和間充質干細胞移植治療1型糖尿病的安全性和有效性:系統評價和薈萃分析》的研究成果。【3】

共納入754例受試者(655例病例和99例對照)。受試者年齡范圍為1.5至60歲。
有效性評估
無論是間充質干細胞或造血干細胞都可有效改善1型糖尿病的主要指標,如降低胰島素日劑量,并緩解次要指標,如糖化血紅蛋白和C肽。
1.間充質干細胞(MSCs)移植的有效性
在該綜述納入評估的35項研究中,有6項應用到間充質干細胞(MSCs)移植。治療了74名糖尿病患者,其中24人在對照組中。這些患者大多數通過外周靜脈注射MSCs,1例患者使用背側胰動脈注射,2例患者選擇肝穿刺作為給藥途徑。治療頻次為每間隔3個月注射 2次。
在干細胞移植3個月后開始隨訪。總共有5名(10%)患者經歷了無胰島素期(從1到24個月),23名(46%)的參與者表現出胰島素的TDD降低。亞組薈萃分析顯示MSC治療T1DM有效。

2.造血干細胞移植(HSC)的有效性
納入的21項研究采用了HSC療法。在這些研究中,491名患者接受了HSC移植,并將其結果與75名對照參與者進行了比較。
168 (34.2%) 名患者經歷了無胰島素治療期(持續時間從1到80個月),其中332 (67.6%) 名患者僅出現胰島素TDD的減少。亞組薈萃分析顯示HSC治療可能與β細胞功能的改善有關。

3.間充質干細胞和造血干細胞聯合移植的有效性
在8項符合條件的研究中,114名糖尿病患者接受了HSC和MSC聯合移植。
比較SMD作為效應大小,結果顯示,HSC和MSC聯合給藥顯著改善了隨訪第3個月的每日胰島素需求量(SMD:-0.586,95% CI:-1.204/-0.509,I2:0%)、HbA1c(SMD:-0.736,95%CI:-1.107/-0.365,I2 :0%)、調整后的HbA1c(SMD:-2.041,95% CI:-2.648/-1.434,I2:38.4%)和c肽(SMD:1.917,95%CI:0.192/3.641,I2:92.5%),且其效應在移植后3至12個月呈增長趨勢。

安全性評估:在不良事件的統計中發現,間充質干細胞治療的安全性極佳,沒有1例不良事件發生。
結果表明,大多數干細胞移植治療1型糖尿病的臨床試驗是單組試驗,薈萃分析表明干細胞移植與1型糖尿病改善相關。
④臨床試驗四:干細胞衍生β細胞在1型糖尿病患者中發揮血糖控制作用
2023年11月27日,布魯塞爾自由大學和布魯塞爾 Ziekenhuis 大學糖尿病研究中心在國際期刊《Nature Biotechnology》上發表了一篇關于《封裝的干細胞衍生β細胞在1型糖尿病患者中發揮血糖控制作用》的研究成果。【4】

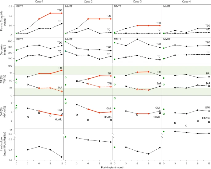
該臨床研究納入10名參與者,他們在研究開始時已經無法自我產生胰島素,隨后研究人員將干細胞封裝在內的皮下植入裝置來取代人工胰島素注射。
有效性評估
1.C肽水平提高
植入后第3個月,10位接受者中有5位表現出MMTT誘導的C肽水平高于LOD(0.05–0.07nmol l?1)。

在第6個月,10位接受者中有4位仍可檢測到C肽,達到主要療效終點,并且在更長的隨訪期間也是如此。這4位患者中有3位直到第12個月都達到了C肽水平>0.07nmol l?1的次要終點(0.10–0.23nmol l?1)

2.具有β細胞功能的受體血糖控制得到改善
- 對4名誘導β細胞功能的患者進行了12個月期間的血糖控制標志物評估。
- 3名患者(病例1-3)達到了植入物功能的主要和次要終點,C肽反應≥0.1nmoll?1,其TIR增加、TAR降低,達到了血糖控制的共識目標;TBR保持在低水平(≤4%),沒有嚴重的低血糖事件。
- 血糖控制措施的這種改善從第6個月持續到第12個月,C 肽水平升高也是如此。它與GMI的改善有關。在病例4中未觀察到這些血糖控制參數的改善,未達到植入物功能的次要療效終點。
3.胰島素需求減少
三名參與者減少了需要注射的胰島素量。一名參與者將他的葡萄糖目標范圍時間 (TIR) 從55%提高到85%,并將每天的胰島素用量減少了44%。
安全性評估:最常見的不良事件是手術疼痛。兩名患者報告了治療引起的嚴重不良事件 (TESAE),一個歸因于手術,另一個歸因于方案規定的免疫抑制。
綜上所述,研究表明植入后第3個月,10位接受者中5位MMTT誘導的C肽水平高于LOD;第6個月,10位中4位達主要療效終點且后續保持,其中3位到第12個月達次要終點。3名患者達植入物功能主、次終點,血糖控制改善,3名參與者胰島素需求減少。因此封裝的干細胞衍生β細胞在1型糖尿病患者是安全有效的。
干細胞治療1型糖尿病的臨床研究進展
截止2024年8月22日,在美國國立衛生研究院的最大臨床試驗注冊庫clinicaltrials.gov網站上注冊的有關干細胞治療1型糖尿病臨床研究項目有54項,已完成的有15項。

國內注冊項目包括:
| 研究標題 | NCT 編號 | 地位 | 狀況 | 干預措施 | 贊助 | 學習類型 | |
|---|---|---|---|---|---|---|---|
| 1 | 臍帶間充質干細胞和單核細胞輸注治療1型糖尿病 | NCT01374854 | 未知狀態 | 1 型糖尿病 | 生物:臍帶間充質干細胞 (UC-MSCs) 輸注 藥品:傳統療法 | 福州總醫院 | 介入 |
| 2 | 干細胞療法治療1型糖尿病 | NCT01143168 | 未知狀態 | 1 型糖尿病 | 生物:自體骨髓單個核細胞和臍帶間充質干細胞 | 賽洛尼斯生物科技有限公司 | 介入 |
| 3 | 1型糖尿病的干細胞教育者療法 | NCT01350219 | 未知狀態 | 1 型糖尿病 | 設備:干細胞教育者 | Throne Biotechnologies Inc. | 介入 |
| 4 | 通過干細胞教育治療逆轉兒童1型糖尿病 | NCT01996228 | 未知狀態 | 1 型糖尿病 | 設備:干細胞教育者 | Throne Biotechnologies Inc. | 介入 |
| 5 | 干細胞教育治療糖尿病 | NCT03390231 | 未知狀態 | 1 型糖尿病 2 型糖尿病 | 組合產品:干細胞教育者療法 | Throne Biotechnologies Inc. | 介入 |
| 6 | 1型糖尿病患者的胰島和間充質干細胞同種移植手術 | NCT00646724 | 未知狀態 | 1 型糖尿病 | 生物:胰島和間充質干細胞共移植 | 福州總醫院 | 介入 |
| 7 | 自體造血干細胞移植治療初發1型糖尿病 | NCT00807651 | 完全的 | 1 型糖尿病 | 程序:自體造血干細胞移植 藥品:胰島素治療 | 上海交通大學醫學院 | 介入 |
| 8 | 臍帶間充質干細胞輸注治療初發1 型糖尿病 | NCT01219465 | 未知狀態 | 糖尿病 1型糖尿病 間充質干細胞 1 更多 | 生物:臍帶間充質干細胞 | 青島大學 | 介入 |
| 9 | 自體造血干細胞移植治療新發1型糖尿病的療效和安全性研究 | NCT01341899 | 完全的 | 1 型糖尿病 | 程序:免疫抑制和干細胞移植 | 南京大學醫學院附屬南京鼓樓醫院 | 介入 |
| 10 | 人月經血間充質干細胞移植治療1 型糖尿病患者 | NCT01496339 | 未知狀態 | 1 型糖尿病 | 生物: MenSCs 移植 藥品:每日注射外源性 indulin | S-Evans 生物科學有限公司 | 介入 |
| 11 | 單基因免疫缺陷型T1DM兒童和青少年的 UCBSCs 和胰島細胞序貫移植手術 | NCT03835312 | 招聘 | 1 型糖尿病 免疫缺陷綜合征 | 程序:順序移植 | 復旦大學附屬兒科醫院 | 介入 |
| 12 | 用 HUCMSCs 負載膠原支架改善男性糖尿病患者的勃起功能 | NCT02579148 | 已撤回 | 勃起功能障礙 1 型糖尿病 2 型糖尿病 | 生物: HUCMSC 注射 生物:膠原支架/HUCMSC注射 | 朱蕾蕾 | 介入 |
| 13 | UCMSCs 與標準療法相結合治療新診斷的 1 型糖尿病 | NCT06407297 | 招聘 | 新診斷的 1 型糖尿病患者 | 藥品:臍帶間充質干細胞藥品:安慰劑 | 上海長征醫院 | 介入 |
| 14 | 注射用膠原支架?與HUC-間充質干細胞結合改善糖尿病男性的勃起功能 | NCT02745808 | 未知狀態 | 勃起功能障礙 1 型糖尿病 2 型糖尿病 | 生物: HUC-MSCs 生物:可注射膠原蛋白支架 + HUC-MSCs | 中國科學院 | 介入 |
| 15 | 自體間充質干細胞移植治療1型糖尿病發病患者 | NCT01157403 | 未知狀態 | 肝移植的證據 | 生物:自體移植 | 盧德斌 | 介入 |
| 16 | 異體臍帶間充質干細胞移植治療1型糖尿病合并糖尿病酮癥酸中毒 | NCT02763423 | 未知狀態 | 糖尿病酮癥酸中毒 | 程序:臍帶間充質干細胞 | 南京大學醫學院附屬南京鼓樓醫院 | 介入 |
| 17 | 從人類脫落牙齒中提取干細胞治療胰島功能明顯降低的糖尿病患者 | NCT03912480 | 未知狀態 | 1型糖尿病 | 生物:來自人類脫落牙齒的干細胞 | 卡泰(上海)生物科技有限公司 | 介入 |
結論
臨床研究結果顯示干細胞治療1型糖尿病是具有臨床價值的,能夠極大改善血糖、減少胰島素需求、改善胰島β細胞功能以及提高生活質量等。
盡管干細胞治療總體上安全,仍存在一些潛在風險,例如,低熱和頭暈和輕微不適反應。因此,患者在接受干細胞治療前需要進行詳細的檢查和評估,并在專業醫生的指導下進行治療。
隨著研究的深入和技術的成熟,我們期待干細胞治療能夠在1型糖尿病治療中發揮更大的作用。
1.DOI: https://doi.org/10.1016/S2213-8587(16)30372-2
2.Sun, Shi-Yi, Gao, Yun, Liu, Guan-Jian, Li, Yong-Kun, Gao, Wei, Ran, Xing-Wu, Efficacy and Safety of Stem Cell Therapy for T1DM: An Updated Systematic Review and Meta-Analysis, Journal of Diabetes Research, 2020, 5740923, 12 pages, 2020. https://doi.org/10.1155/2020/5740923
3.Madani, S., Amanzadi, M., Aghayan, H.R. et al. Investigating the safety and efficacy of hematopoietic and mesenchymal stem cell transplantation for treatment of T1DM: a systematic review and meta-analysis. Syst Rev 11, 82 (2022). https://doi.org/10.1186/s13643-022-01950-3
4.Keymeulen, B., De Groot, K., Jacobs-Tulleneers-Thevissen, D. et al. Encapsulated stem cell–derived β cells exert glucose control in patients with type 1 diabetes. Nat Biotechnol (2023). https://doi.org/10.1038/s41587-023-02055-5
免責說明:本文僅用于傳播科普知識,分享行業觀點,不構成任何臨床診斷建議!杭吉干細胞所發布的信息不能替代醫生或藥劑師的專業建議。
版權說明:本文來自杭吉干細胞科技內容團隊,歡迎個人轉發至朋友圈,謝絕媒體或機構未經授權以任何形式轉載至其他平臺,轉載授權請在網站后臺下方留言獲取。
掃碼添加官方微信